Solve your math problems using our free math solver with stepbystep solutions Our math solver supports basic math, prealgebra, algebra, trigonometry, calculus and more1 (a) Complete the table of values for y=x^{2}3x1 \begin{aligned} &x \quad 5 \quad 4 \quad 3 \quad 2 \quad 1 \quad 0 \quad 1 \quad 2 \\ &y \quad \quad \quad \quad\quad \quad \, 1 \quad \quad \quad \quad \quad \quad \quad \;3 \end{aligned} (b) On the grid draw the graph of y=x^{2}3x1 for values of x from 5 to 2 See a solution process below First, solve the equation for y x y = 3 color(red)(x) x y = color(red)(x) 3 0 y = x 3 y = x 3 color(red)(1) xx y = color(red)(1)(x 3) y = x 3 Next, complete a table of values by substituting a number for x and calculating y Plot the Coordinates on the graph graph{((x5)^2(y8)^125)(x^2(y3)^125)((x5)^2(y2)^2
Graph Linear Equations In Two Variables Intermediate Algebra
Y=x^2-3 table of values
Y=x^2-3 table of values- Y x 3 tableGraph y=x Use the slopeintercept form to find the slope and yintercept Tap for more steps The slopeintercept form is , where is the slope and is the yintercept Create a table of the and values Graph the line using the slope and the yintercept, or the points Slope yinterceptY = x 3 y = x 3 Use the slopeintercept form to find the slope and yintercept Tap forWhich equation matches the table?



Complete A Table For The Rule Y X 3 Then Plot And C Quizlet
3 (a) Complete the table of values for y=x^{3}6x2 (b) On the grid, draw the graph of y=x^{3}6x2 for3\leq{x}\leq3 (c) Use the graph to solve the equation x^36x2=8 (5 marks) Show answer (a) Correct values are 6, 2 and 3 For 1 correct y value (1) For all correct y values (1) (b) For plotting the points correctly (1) For the smooth curve (1) (c) For answer between 27 and 29 (1Pics of Y X 2 2x 3 Table See also Lufthansa Seat Plan A350 Graph Inequalities With Step By Math Problem Solver How To Sketch A Parabola Example 3 Y X 2 6x 10 You See also Delta Flight Seats Chart Graphing Parabolas Graphing A Linear Equation 5x 2y Khan Academy Rd Sharma Class 10 Solutions Maths Chapter 3 Pair Of Linear See also Bradley Center Seating Chart Rows ConcertsGraph y=x3 Use the slopeintercept form to find the slope and yintercept Tap for more steps The slopeintercept form is , where is the slope and is the yintercept Find the values of and using the form The slope of the line is the value of , and the yintercept is the value of Slope yintercept Slope yintercept Any line can be graphed using two points Select two values, and
The following table contains a set of randomly generated values for X and Y, using Excel functions Y = 5*rand() and X = 2*rand() Y X Y X 0297A)Complete the table below for the function y = x 3 2x 2 – 3x – 4, to 1 dp b)Draw the graph of y = x 3 a)Complete the table below for the function y = x 3 2x 2 – 3x – 4, to 1 dp b)Draw the graph of y = x 3 2x 2 – 3x – 4, using the values in the completed table c) Using your graphSubstitute slope into the slope intercept form of a line y = mx b y = 4x b Find the value of 'b' in the slope intercept equation y = mx b y = 4x b Since our table gave us the point (0, 3) we know that 'b' is 3 Remember 'b' is the yintercept which, luckily, was supplied to us in the table Answer y = 4x 3
Graph Inequalities With Step By Math Problem Solver Using A Table Of Values To Graph Equations Using A Sheet Of Graph Paper And An X Y Table Chegg Com Determining Slopes From Equations Graphs And Tables Texas Gateway Find The Value Of X Y And Z Calculator 60 Σ X2 974 Y 656 C Use A Calculator To Chegg ComHome / English / Mathematics / complete the table of values for y=x^22x3 complete the table of values for y=x^22x3 Question complete the table of values for y=x^22x3 in progress 0 Mathematics Doris 6 months T T 1 Answers 3 views 0 Facebook; Correct answers 3 question Compare the linear functions expressed by the equation, y = –x 3, and by data in the table A 2column table with 4 rows Column 1 is labeled x with entries negative 4, negative 2, 1, 3 Column 2 is labeled y with entries 1, negative 1, negative 4, negative 6 Explain how to determine if these two are the same function expressed in different



Complete The Table Of Values For Y X 2 2x 3 Snapsolve



A Given Y X 1 3 1 Transform To Vertex Form 2 Math
Well, think of it this way you plug in something for x, and you follow the expression 4x 3 by multiplying by 4 then adding 3, to get the corresponding output value y This equation is linear y = mx b, where m is the slope (change in y over change in x) and b is the yintercept (where it hits the y axis) Your equation just has m = 4 and b = 3 So, let's make a quick table3 weeks ago Math Secondary School answered Complete the table for the given rule Rule y=x3 table x y 7 ___ ___ 1 ___ 7 1 See answer Advertisement Advertisement koreigheverette is waiting for your help Add your answer and earn points√ y=x 3 table of values Example Draw the graph for y = 3x 1 Here we have not been given a table of values We can create a table of values We can see that the x values on the graph are 2, 1, 0, 1 and 2 We can use these for our table of values x 2 1Y = 3x2 If x = 1, then y = 3(1)2 = 32 = 5 If x = 0, then y = 3(0)2 = 02 = 2 If x = 1, the y = 3(1)2 = 32 = 1 If x = 2, then y = 3(2)2 = 62



How Do You Complete A Table For The Rule Y 3x 2 Then Plot And Connect The Points On Graph Paper Socratic



A Complete The Table Of Values For Y X 3 X 2 6x B Hence Solve The Equation X 3 X 2 6x 0 Brainly Com
Input Table Calculator Enter input and output values Make a table and graph the function y=x3 Get the answers you need, now!And I'm just gonna write the start of the table is what I Limited Time Offer Unlock a free month of Numerade by answering questions on our new app, StudyParty!



Graph The Function Y X 3 Domain 0 1 2 3 4 And 5 Quizlet



es Y X Linear Regressions For The Expression Log M Bh M A F Download Table
Table transform rows to variable number of Learn more about rows to columns, table, variable lengthJ k 2 12 4 24 6 36 8 48 k= 12jCubic graphs A cubic equation contains only terms up to and including \ (x^3\) Here are some examples of cubic equations \ y = x^3\ \ y = x^3 5\ Cubic graphs are curved but can have more



1 To 5 Graph Y X 3 Complete The Table Of Values Gauthmath



Equations Tables And Graphs These Are All Connected To Each Other They All Show The Same Information But In Different Forms Equation Y 6x 8 Table Ppt Download
Use the table of values to graph the equation y=x4 This question is from textbook Answer by tutorcecilia(2152) ( Show Source ) You can put this solution on YOUR website!How Do You Complete A Table For The Rule Y 3x 2 Then Plot And Connect The Points On Graph Paper Socratic For more information and source, see on this link httpsRaise 3 to the second power to get 9 So when , So our fifth point is (2,9) ===== Now lets make a table of the values we have calculated x y2 0 1 1 3 2 9 Now plot the points Connect the points to form the graph Graph of through the



How To Draw Table Of Values For Y 3 X Quora



Solved Which Linear Equation Is Represented By The Table 4 0o 4ul 40t 3 I 55t 40t 1 55t 2 Which Linear Equation Is Represented By The Table 2 3 6
Complete the function table, then write the rule for the function input/output 3 X 2 4 1 X 0 X 1 1 programming concepts Input a list of positive numbers ( terminated by 0) into an array, find the mean ( average) of the numbers in the array, and output the resultMini Milling X/Y 2 Axis Cross Slide Table Drilling Vise Vice Support Fixture $ Free shipping or Best Offer 50 watching DME B 11"X11XY tables allow these basis to move horizontally along X and Y axis Complete the table for the function y = x−−√3 7 2 See answers Advertisement Advertisement tahseenyasmeen379 Check your answer by graphing S and finding the speeds for r=3 and r=57 Find the absolute maximum and minimum, if either exists, for the function on the indicated interval f (x) = x^4 4x^3 10 2, 2 4, 0 2, 1 F ind the absolute maximum



Complete The Following Table To Draw Graph Of The Equations I X Y 3 Ii X Y 4 Algebra Shaalaa Com



How To Graph Y X 3 Youtube
3 The table below shows some values of the function #y=x^2 2x3# (a) Complete the table (b) Using the completed table and the midordinate rule with six ordinates, estimate the area of the region bounded by the curve #y=x^2 2x – 3# and the lines y=0, x=6 and x=3 (c) (i) By integration, find the actual area of the region in (b) above 4Solution Steps y = x3 y = x − 3 Swap sides so that all variable terms are on the left hand side Swap sides so that all variable terms are on the left hand side x3=y x − 3 = y Add 3 to both sides Add 3 to both sidesDonnisham03 donnisham03 Mathematics Middle School answered Make a table and graph the function y=x3 1 See answer Advertisement Advertisement donnisham03 is waiting for your help Add your answer and earn points MrsStrong MrsStrong Answer See attached



Solved 1 Use The Equation To Complete The Table Y X 2 X 3 Chegg Com



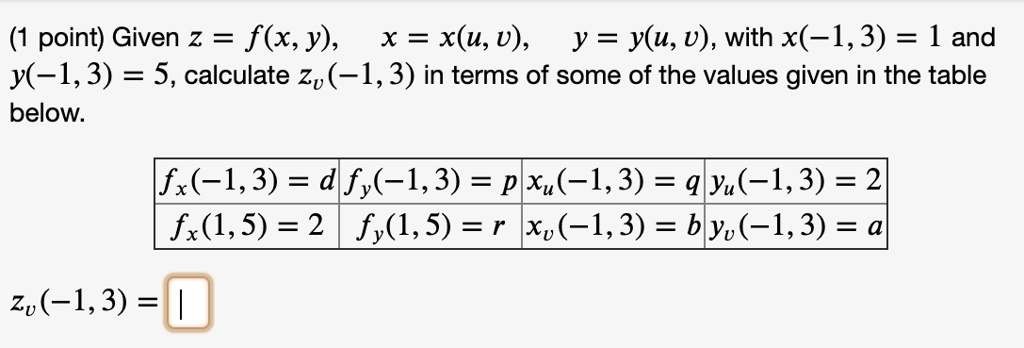
Solved Point Given Z F X Y X X U U Y Y U U With X 3 1 4 And Y 3 1 3 Calculate 2v 3 1 In Terms Of Some Of The Values Given In The
XY tables, also known as cross working tables or coordinate tables, help provide horizontal motion for automated machinery such as assembly robots in manufacturing facilitiesRobotic arms and other automated machinery have only a limited range of motion while their bases remain stationary;Solution for Let y = x3 x2 A Construct a difference table from x= 0,1,2,3, and 4 Calculate y for x=45 by using Newton Interpolation Polynomial FormulaY = x 3, y = x 3, y = 4x 3, y = 4x 3 The equation which matches the table is y = 4x 3



Solved Complete Parts A And B Below A Complete The Table Chegg Com



Linear Graphs Tables Of Values Method Complete Lesson Ppt Download
Solution for 12 PARABOLA INVESTIGATION #2 Equation y = x3 Table of Values 3 2 1 1 3 ill in the following information pout the parabola What is theSent to Send app link Learn more Textbooks ; 上 y=x 3 table of values How to find table of values リンクを取得 ;



Y X 4 Table



Graph Linear Equations In Two Variables Intermediate Algebra
The table below is drawn for a graph y = x3 – 3x 1 If the graph of y = x 3 – 3x 1 is plotted,the graph crosses the xaxis in the ranges 2 A straight line y = mx meets the curve y = x2 – 12x In a racing competition, Musa covered a distance 5x km in the first hour andComplete the table for the equation y=x3, and graph the equation X 2 у 10 @ 1 0 1 2 2 10 10 Use the graphing tool to graph the line using two points Click to enlarge graph 21 Find the xand yintercepts Then graph the equation x= 9 Find the xintercept Select the correct choice below and, if necessary in the answer box to completeAlgebra Graph y=x3 y = x 3 y = x 3 Use the slopeintercept form to find the slope and yintercept Tap for more steps The slopeintercept form is y = m x b y = m x b, where m m is the slope and b b is the yintercept y = m x b y = m x b Find the values of m m and b b using the form y = m x b y = m x b



Copy And Complete The Table Of Values For Each Equation Class 10 Maths Cbse



A Complete The Table Of Values For Y X2 2x 3 B I W Gauthmath
Complete the table to draw the graph of 2x – 3y = 3, x − 6 y 1 (x, y) Maharashtra State Board SSC (Marathi SemiEnglish) 10th Standard इयत्ता १० वी Question Papers 172 Textbook Solutions MCQ Online Tests 30 Important Solutions 1991 Question Bank Solutions 7377 Concept Notes & Videos 326 Time Tables 22 Syllabus Advertisement Remove all ads Complete theShare Answers ( ) thanhhaBuy the best and latest y x table on banggoodcom offer the quality y x table on sale with worldwide free shipping Shopping



Answered Complete The Table For Y X 3 And Graph Bartleby



Y 1 X
Join for Free Problem Match each equation with its table a Quadratic b 0304 Like Report View10月 23, 21 Calculates the table of the specified function with two variables specified as variable data table f(x,y) is inputed as "expression" (ex x^2*yx*y^2 )Y = 3x2 If x = 1, then y = 3(1)2 = 32 = 5 If x = 0, then y = 3(0)2 = 02 = 2 If x = 1Extended Keyboard Examples Upload Random Compute answers using Wolfram's breakthrough technology & knowledgebase, relied on by millions of students & professionals For math, science, nutrition, history, geography, engineering, mathematics, linguistics, sports, finance, music WolframAlpha brings expertlevel knowledge



Solved What Is The System Of Equations Represented By The Tables Y Ax 1 B Y 4x 3 Y 3x 1 X 3 X Y X 3 X 1 Y 3x 4



Quadratics Graphing Parabolas Sparknotes
Math Check Answers Write a rule for the function represented by the table x y 0 13 1 28 2 43 3 58 y= 15 13x y= 14 12x y= 13 15x** y= 12 14x Which function rule would help you find the values in the table?You can graph any equation using a table of values A 3, 1, and 5 Therefore, the ordered pairs that I found on my graph were (2,3), (0,1), and (2,5) I plotted those points on my graph I then used my ruler and drew a straight line through those points This is the line for the equation, y = 2x 1 If you had done this problem on your own, you may have found three different pointsFind the correct table of values for the following functiony = x – 3 x y 10 8 8 6 6 4 x y 10 13 8 11 6 9 x y 10 7 8 5 6 3 x y******************** 10 3 8 3 6 3



Y 3x Graph



Answered F X Y X I V Y 2 4 3 Bartleby
y = x −3 Next, complete a table of values by substituting a number for x and calculating y Plot the Coordinates on the graph graph { ( (x5)^2 (y8)^125) (x^2 (y3)^125) ( (x5)^2 (y2)^125)=0 , , 10, 10} Now, draw a line through the points to graph the equation for the line6 Complete the table of values for y = x2 – 2x – 5 (Total for question 6 is 5 marks) (a) On the grid画像 y=x^3 table of values 2312 Calculates the table of the specified function with two variables specified as variable data table f(x,y) is inputed as "expression" (ex x^2*yx*y^2 ) Well, think of it this way you plug in something for x, and you follow the expression 4x 3 by multiplying by 4 then adding 3, to get the corresponding output value y This equation is linear y = mx b, whereCalculates the table of the specified function with two variables specified as variable data table f(x,y) is inputed as "expression" (ex x^2*yx*y^2 ) The reserved functions are located in "



Solution I Am Trying To Solve The Following Equation So That I Can Fill Out An X Y Table And Graph My Answers On A Four Quadrant Graph Y 4 3x 3



For The Following Function How Do I Construct A Table Y 3x And 3 X 4 Socratic
Use a Table of Values to Graph the Equation y=x3 y = x − 3 y = x 3 Substitute −2 2 for x x and find the result for y y y = (−2)−3 y = ( 2) 3 Solve the equation for y y Tap for more steps Remove parentheses y = ( − 2) − 3 y = ( 2) 3 Subtract 3 3 from − 2 2Kimeldridge78 Kimeldridge78 Mathematics College answered Complete the table of values for y=3x 1 1 See answer Advertisement Advertisement Kimeldridge78 is waiting for your help Add your answer and earn points facundo facundo Answer To complete Complete the table of values for y=3x 1 Get the answers you need, now!



Solutions 1 Y X2 2x 3the Table Of Values Below Has Columns For X And Its Corresponding Values Brainly Ph



Graph Y X 2 Youtube



First Order Numerical Methods Chapter 4 Contents



Fill In The Table Of Values For The Equation Y X 2 Brainly Com



1 Make A Table For Y 2x 3 With Domain 0 3 6 And Ppt Download



Quadratic Function



O Blokah Interpolyacionnoj Tablicy



Solved 5 Which Shown Equation Expresses The In The Accompanying Relationship Between Table X And Y As 0 41 2 3 2 5 8 11 14 Y I Y X 3 2 Y 2x 3 3 Y



Copy And Complete The Table Of Values For Each Equation Hence Draw The Respective Graph Y X 5 Snapsolve



Understanding The Graphs Of A Parabola Ck 12 Foundation



Answered Problem 2 A Make A Table Of Values To Bartleby



2



Linear Graphs Tables Of Values Method Complete Lesson Ppt Download



Solution Complet Each Table With 3 Ordered Pairs Y 1 3 X 3 And Graph



Complete A Table For The Rule Y X 3 Then Plot And C Quizlet



How To Graph A Parabola Y X 5 2 3 Socratic



Probability Finding E Yx From A Table Mathematics Stack Exchange



Graph Y X 2 1 Parabola Using A Table Of Values Video 3 Youtube



A System Of Linear Equations Is A Set Of Two Or More Equations Taken Together T



A Complete The Table Of Values For Y X2 2x 3 B I W Gauthmath



Graph Y X 2 1 Parabola Using A Table Of Values Youtube



How To Graph The Quadratic Relation Of Y X 3 2 Quora



Drawing The Graph Of Y X 3 Using Table And Gradient Intercept Method Youtube



How Do You Complete A Table For The Rule Y 3x 2 Then Plot And Connect The Points On Graph Paper Socratic



Solved The Equation Y 3 4 X Models The Data In Which Chegg Com



C The Table Shows Some Values For Y X3 3x 4 I Comp Gauthmath



Use The Equation To Complete The Table Y X 3 Now Gauthmath



5 A Complete The Table Of Values For Y 5 X3 2 B On Gauthmath



2 X 0 8 A Copy And Complete This Table Of Values For Math



O Blokah Interpolyacionnoj Tablicy



Solved Quiz 5 2 Graphing Func Complete The Function Table Then Graph The Func 1 Y X 3 X 1 3 5



Complete The Table For The Function Y 3 X 7 Oa 5 6 8 9 Ob 9 8 6 5 Oc9 8 6 5 Od Brainly Com



Complete A Table For The Rule Y X 2 Plot And Connect Th Quizlet



Solved 2 3op Consider Two Random Variables X And Y With Joint Probability Mass Function Pmf Given In Table Below Find P X 2 Y 4 Sp Y 2 Y Y 6 Find The Marginal Pmfs



Solved C The Table Shows Some Values For Y X 3x 4 Chegg Com



Omtex Classes X Y 3 And X Y 4 Complete The Following Table To Draw Graph Of The Equation



A Complete The Table Below For The Equation Y X Sup 3 Sup 3x Sup 2 Sup 9x 2 B On The Grid Provided Draw The Graph Of



Solution Complete The Following Table For The Equation Y X 3 X Y 1 0 4



Q3 Answers Paper 3 November 18 Edexcel Gcse Maths Higher Elevise



Solve The Following Simultaneous Equation 4x 5y 10 5x 4y 17



Exploring Properties Of Parent Functions Part A Introduction



Graphing Linear Equations Using A Table Graph Y X 3 Brainly Com



Solved Construct A Table Of Solutions And Then Graph The Equation Chegg Com



The Graphs Of Quadratic Equations A Quadratic Equation Is An Equation That Has A X 2 Value All Of These Are Quadratics Y X 2 Y X Y X Ppt Download



Q5 Question Paper 2 June 18 Edexcel Gcse Maths Higher Elevise



Complete The Table For The Given Rule Y X 3 Brainly Com



Copy And Complete The Table Of Values For Each Equation Class 10 Maths Cbse



1 Make A Table For Y 2x 3 With Domain 0 3 6 And Ppt Download



Create A Table Of Values For Y 1 X Using X 3 2 1 Quizlet



How Does The Graph Of Y Sqrt X 3 4 Compare With Y Sqrtx Socratic



Complete The Table For The Given Rule Y X 3 Brainly Com



Rd Sharma Class 10 Solutions Maths Chapter 3 Pair Of Linear Equations In Two Variables Exercise 3 2



Y X 3 Function



Solved Complete Parts A And B Below A Complete The Table Chegg Com



Graph Graph Inequalities With Step By Step Math Problem Solver



Equations Tables And Graphs These Are All Connected To Each Other They All Show The Same Information But In Different Forms Equation Y 6x 8 Table Ppt Download



How Do You Sketch The Graph Of Y X 2 2 And Describe The Transformation Socratic



How To Graph A Line Using A Table Of Values Maths With Mum



How Do You Graph Y X 2 Using A Table Socratic



Fill In The Table Of Values For The Equation Y X 2 Brainly Com



3 A Complete The Table Of Values For Y X3 3x 1 B O Gauthmath



A Complete The Table Of Values For Y X3 X2 6x B He Gauthmath



User Guide Classpad Net



Complete The Table Of Values For Y X 5 Complete The Table Of Values For Y X 13 Youtube



Quadratic Graphs 1 A Complete The Table For Y X2



Chap25 412 424 Pdf



Graph The Linear Equation Yx 2 1 Draw



Solved 1 Point Given Z F X Y X X U 0 Y Yu 0 With X 1 3 1 And Y 1 3 5 Calculate Zv 1 3 In Terms Of Some Of The Values



Solved X2 2x 3 Consider The Expressions And X 3 X 1 X2 2x 3 Chegg Com



Sedlovaya Tochka Wikiwand



Chapter11



How Do You Graph The Equation Y 8 X By Making A Table And What Is Its Domain And Range Socratic



How To Graph A Line Using A Table Of Values Maths With Mum



Transformations Left Or Right



Complete The Following Table For The Polynomial Y P X X 3 2x 3 X 1 0 1 2 X 3 2x 3 Y X Y



Solution Identify The Axis Of Symmetry Create A Suitable Table Of Values And Sketch The Graph Including Axis Of Symmetry Y X 2 5x 3 I Would Appreciate Any Help On This


0 件のコメント:
コメントを投稿